Researcher reports on reducing the carbon footprint of dairy herds
Strategies to reduce the greenhouse gases (GHG) produced by dairy cowsDr. Ermias Kebreab, professor of animal science and associate dean for global engagement at UC Davis, teamed up with Selko, the feed additive brand of Nutreco, to share research on strategies to reduce the greenhouse gases (GHG) produced by dairy cows. The webinar “Effective Strategies to Reduce the Carbon Footprint of Dairy Cows” can be watched in its entirety here. Excerpts from the presentation are shared below.
Improvements in genetics have already helped the industry produce more milk with fewer cows and lessened emission intensity, however, further curbs on methane generation are needed.1 Science-based nutrition including feed additives can help support farmers’ efforts to reduce methane generation in dairy production.
GHG production and agriculture
While about three quarters of global GHG generated, such as carbon dioxide and methane, come from the energy sector, agriculture and livestock production also play a noticeable role. For example, in the U.S., about 35% of the anthropogenic methane generated comes from the care of cattle, dairy cows, and swine.2
Current practices are insufficient to allow the dairy industry and individual countries to meet established emission goals. Initiatives to achieve greenhouse gas reduction targets focus on livestock sectors being climate neutral by a certain date. These include projects started by the U.S. Roundtable on Sustainable Beef or 2050 Environmental Stewardship Goals set by the U.S. dairy industry, corporate efforts and the international Paris Accords.
Methane and livestock production
Carbon dioxide, methane and nitrous oxide are some of several gases known to trap heat in the atmosphere. Although carbon dioxide is a more prevalent GHG, methane has been found to be more damaging within its lifetime of about 12 years. As such, efforts to slow warming are focusing on reducing the amounts of methane released. Considering the potential benefit of these efforts, reducing total methane emissions by 30% from the levels generated in 2020 could curb warming by 0.2-0.3C in 20 years.

Addressing GHG Reduction Targets
Options to lower methane emissions can include the use of different feed additives that rely on two primary strategies for reducing GHG production:
* Product-based interventions
* Efforts for absolute reduction
A reduction approach aims to lower the GHG emitted per liter of milk generated. One advantage for dairy producers has been the improvements in cow genetics that have led to more efficient cows. While progress has been positive there remains an opportunity to achieve further genetic potential from today’s herds. Refining the diet formulation can also play a role in reducing emission intensity. IntelliBond trace minerals would be an example of a feed additive that, via its proven ability to improve cow productivity, is having a positive impact on lowering the cow’s carbon footprint per kg of energy corrected milk.
Product-based approaches have explored the use of several different feed additives including seaweed, 3NOP, nitrates, fatty acids, and other bioactive compounds.

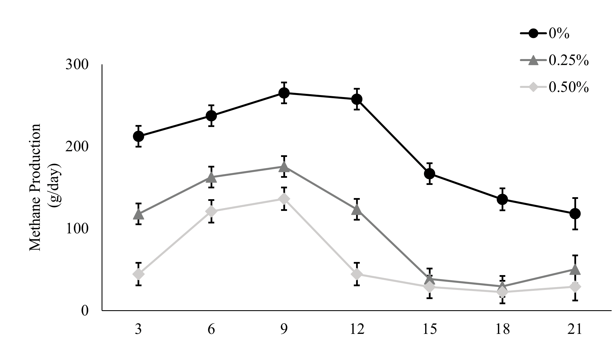
Researchers in Australia discovered that a type of seaweed reduced methane emissions in vitro.3 When added to cows’ diets it displayed similar properties and when fed to beef cattle at 0.25% or 0.5% for 5 months, emissions dropped and stayed low.4,5 A greater reduction is noticed when the diet has a higher concentrate level leading to an up to 80% reduction with high energy diets and 50-60% reduction for high forage diets.

A study looking at the use of bioactive compounds and extracts from garlic and citrus in dairy cow feed at 15g a day found a 23% reduction after 12 weeks, but more work is needed.6
A study looking at increasing inclusion levels of grape pumice, a byproduct of wine production, is in progress.
Based on differing modes of actions, it has been noted that supplementing multiple feed additives such as IntelliBond trace minerals – shown to have a 2% reduction - and another feed additive such as 3NOP may achieve up to a 14% reduction in the cow’s carbon footprint.
The additive 3NOP (Bovaer) also has been generating positive results, reducing methane emissions by more than 30% (12% reduction in the cow’s carbon footprint) when fed to dairy cows.7 It has been given regulatory approval for use in Europe and several other countries, but is not available in the U.S.
Newer research, ongoing challenges
Several projects studying methane reduction strategies remain in progress or have been proposed. For example, a project with UC Berkley and UC San Francisco now in its early stages looks at using CRISPR technology to engineer gut microbes to reduce methane production, which would optimize the microbiome.
Another area for future research is improving the genetic selection of dairy cows following the success seen in New Zealand with sheep. Methane production by individual cows is a heritable trait. Lower emissions could be used as a selection point for producers, providing the industry with a long-term result potentially lowering overall methane generation by 11-26%.8
One challenge for research into methane production is that additive use relies on animals being housed within confined pens – as with dairy herds. Efforts are ongoing to find ways to apply products to cows on pasture. A trial is ongoing with rangeland cattle in Montana, but results are not yet available.
Regulations play a role in strategies for reducing methane emissions, with additive registration continuing to be an issue in the U.S. The FDA classifies any additive that creates a change in emissions as something that is changing the structure and function of animals, making it a drug – including additives like 3NOP. An ongoing legislative effort seeks to redefine certain additives as food additives and not drugs. The proposed amendment would reclassify any product added to the food or water of production animals and acts within the GI tract to alter emissions or waste, reduce foodborne pathogens, alter the microbiome, or affect the structure and/or function.
Leveraging a variety of tools to lower emissions
A range of options that include improving feed efficiency, use of methane-reducing feed additives, optimizing animal genetics and improving manure management can help reduce overall methane emissions coming from the dairy industry and help it meet climate-focused goals. Use of feed additives, like IntelliBond trace minerals, can help achieve emission reduction goals per unit of energy corrected milk.
“If we implement all of this, then we’ll be well on our way to have a substantial reduction,” said presenter Dr. Kebreab.
References
1 - Naranjo et al., 2020
2 - EDF, 2022
3 - D Kinley et at. 2016
4 – E Roque et al. 2019
5 - F Roque et al. 2021
6 - G Roque et al. 2019
7 - Jayanegara et al. 2018
8 - Lactanet